首页
幼儿启蒙
幼升小
小学
小学语文
小学数学
小学英语
初中
初中语文
初中数学
初中英语
初中物理
初中化学
初中历史
初中地理
初中生物
初中道德与法治
高中
高中语文
高中数学
高中英语
高中物理
高中化学
高中生物
高中政治
高中地理
高中历史
真题资料
中考真题
高考真题
学科小程序
教务资料
开通会员
开通会员
全站资源会员免费学习
资源可直接下载
微信专属客服
更多权益年会员专享
开通会员
开通合伙人
免费搭建同款资源站
课程资源同步更新
一对一技术指导
项目,引流等免费学习
开通合伙人
开通会员 尊享会员权益
登录
注册
找回密码
首页
幼儿启蒙
幼升小
小学
小学语文
小学数学
小学英语
初中
初中语文
初中数学
初中英语
初中物理
初中化学
初中历史
初中地理
初中生物
初中道德与法治
高中
高中语文
高中数学
高中英语
高中物理
高中化学
高中生物
高中政治
高中地理
高中历史
真题资料
中考真题
高考真题
学科小程序
教务资料
开通会员 尊享会员权益
登录
注册
找回密码
初中数学
分类
初中语文
初中数学
初中英语
初中物理
初中化学
初中生物
初中道德与法治
初中历史
初中地理
版本
全部
通用资料
人教版
北师大版
苏科版
沪科版
华东师大版
浙教版
冀教版
青岛版
沪教版
湘教版
年级
七年级上册
七年级下册
八年级上册
八年级下册
九年级上册
九年级下册
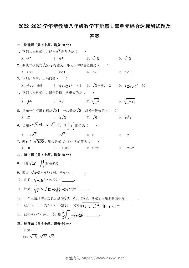
2022-2023学年浙教版八年级数学下册第1章单元综合达标测试题及答案(Word版)
------预览已结束,还剩5页未读------开通会员后可免费下载高清完整文档
付费资源
¥
8.8
12月9日 08:59
0
22
11
2022-2023学年浙教版数学八年级上册第一章三角形的初步知识单元测试题及答案(Word版)
------预览已结束,还剩6页未读------开通会员后可免费下载高清完整文档
付费资源
¥
8.8
12月9日 08:59
0
39
6
浙教版数学七年级上知识点总结
预览已结束,还剩4页未读,开通会员后可免费下载高清完整文档
付费资源
¥
9.8
7月5日 11:59
0
22
15
浙教版数学七年级上知识点总结(1)
预览已结束,还剩4页未读,开通会员后可免费下载高清完整文档
付费资源
¥
9.9
7月5日 10:21
0
23
5
浙教版七年级上册数学期中试卷
预览已结束,还剩6页未读,开通会员后可免费下载高清完整文档
付费资源
¥
9.8
7月5日 09:48
0
30
14
HI!请登录
登录
注册
微信公众号
随机文章
最近更新
有渔有礼:优质学习资料
有渔有礼学习资料网主要是为幼小初高学生提供学习资料,学科资料,学霸笔记,学习资源,教辅资料,试题试卷,课件教案等优质学习资源。
查看详情
在手机上浏览此页面
登录
没有账号?立即注册
用户名或邮箱
登录密码
记住登录
找回密码
登录
注册
已有账号,立即登录
设置用户名
设置密码
重复密码
注册
注册即表示同意
用户协议
、
隐私声明
欢迎来到有渔有礼!
有渔有礼学科网
每日分享优质学习资料
开通会员免费学习