2022-2023学年广东省惠州市高三上学期开学检测数学试题及答案(Word版)

图片[1]-2022-2023学年广东省惠州市高三上学期开学检测数学试题及答案(Word版)-有渔有礼
图片[2]-2022-2023学年广东省惠州市高三上学期开学检测数学试题及答案(Word版)-有渔有礼
图片[3]-2022-2023学年广东省惠州市高三上学期开学检测数学试题及答案(Word版)-有渔有礼

预览已结束,还剩21页未读,开通会员后可免费下载高清完整文档

2022-2023学年广东省惠州市高三上学期开学检测数学试题及答案(Word版)-有渔有礼
2022-2023学年广东省惠州市高三上学期开学检测数学试题及答案(Word版)
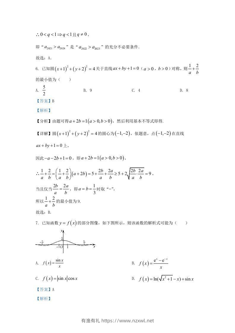
此内容为付费资源,请付费后查看
8.829.8
立即购买
您当前未登录!建议登陆后购买,可保存购买订单
格式doc
页数24 页
大小2.40 MB
付费资源
© 版权声明
THE END
喜欢就支持一下吧
点赞11 分享
评论 抢沙发

请登录后发表评论

    暂无评论内容