2020-2021年河南省洛阳市高一数学(文科)下学期期中试卷及答案(Word版)

图片[1]-2020-2021年河南省洛阳市高一数学(文科)下学期期中试卷及答案(Word版)-有渔有礼
图片[2]-2020-2021年河南省洛阳市高一数学(文科)下学期期中试卷及答案(Word版)-有渔有礼
图片[3]-2020-2021年河南省洛阳市高一数学(文科)下学期期中试卷及答案(Word版)-有渔有礼

预览已结束,还剩4页未读,开通会员后可免费下载高清完整文档

2020-2021年河南省洛阳市高一数学(文科)下学期期中试卷及答案(Word版)-有渔有礼
2020-2021年河南省洛阳市高一数学(文科)下学期期中试卷及答案(Word版)
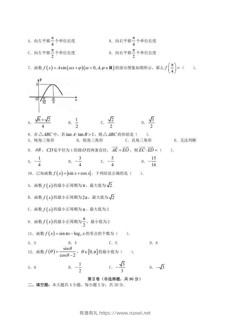
此内容为付费资源,请付费后查看
8.829.8
立即购买
您当前未登录!建议登陆后购买,可保存购买订单
格式doc
页数7 页
大小729.74 KB
付费资源
© 版权声明
THE END
喜欢就支持一下吧
点赞12 分享
评论 抢沙发

请登录后发表评论

    暂无评论内容